



这类药能降糖,能减重,全球卖断货,坐拥千亿市场,位列 Science 2023 年度十大科学突破榜首……
而就在上月,Nature 首页的一篇最新评论文章,却呈现了明星药的另一面——有人买不到,有人用上了却早早停了药。
遭遇超高停药率,究竟是药有问题,还是谁的锅?
超高停药率,83% 坚持不到 1 年?
司美格鲁肽,利拉鲁肽,替尔泊肽……近几年,GLP-1 受体激动剂类药物,开始成为世界上最受欢迎的明星药。
以司美格鲁肽为例,2023 年收入就达 212 亿美元,其中减重版 Wegovy 暴涨 407% 达到 46 亿美元。
正是 GLP-1 受体激动剂类药物的出现,彻底改变了减肥市场——只需吃药,就能实现接近减肥手术级别的减重效果。去年,摩根大通就提高了销售预期:预计到 2030 年,GLP-1 受体激动剂类药物的年销售额将超 1000 亿美元。
然而,在这些药物热销的同时,也有许多人在使用一段时间后就选择停药。
虽然没有戒断反应,但随意停用这类药,依然有严重的后果,首先就是体重的反弹。
有临床研究显示,停药一年后,许多人减掉的体重会回复大约三分之二。
例如,2021 年发表于 JAMA 的一项临床试验,对大约 800 名受试者每周给药一次,在 20 周时间里,他们的体重平均下降了 10.6%。
随后,研究者将 1/3 受试者的药换成安慰剂,用了 48 周。结果显示,在用药+改变生活方式 68 周时间里,受试者平均体重减轻了 17.3%,而那些停药近一年的参与者,减掉的体重恢复了约三分之二。

另外,体重也并不是唯一反弹的健康风险因素。上面两项研究显示,停药的人腰围(腹部脂肪),甚至血压、血糖和胆固醇水平,也会反弹。
停药很可能前功尽弃,为什么还有那么多人要停药呢?
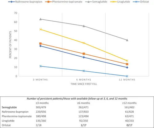
最近,Obesity 刊出了一篇论文,关注在医生指导下使用司美格鲁肽、利拉鲁肽、芬特明-托吡酯、纳曲酮-安非他酮、奥利司他的肥胖患者。使用司美格鲁肽的患者三个月、六个月和一年后仍在用药的比例,分别为 63%、56% 和 40%,利拉鲁肽则为 52%、37%、17%。

各类药物停药率对比
虽然相比其他减重药物,停药率已有所下降,但能坚持使用司美格鲁肽一年的人,仍不足一半,而每天 1 次的利拉鲁肽更只有 17%。
即便减肥效果比其他类别的药物好得不像在一个次元,即便只要每周 1 次,为什么患者还是坚持不下去呢?
Nature 在文章中指出,提前停药最常见原因之一,就是之前明显往下掉的体重不降了,患者就认为药物没用了、「耐受了」。但实际上,这只是平台期,在医生指导下加大剂量一般是可行的。
当然,加大剂量也可能会增加副作用风险,这也是患者停药的另一大原因——在临床试验中,近 74.2% 用药后有胃肠道不适,尽管大多数情况是轻度至中度的,并不严重,但还是有大约 4.5% 因此退出试验。

胃肠道事件发生率和持续时间
目前,最常见的副作用是胃肠道不良事件、肌肉质量下降等轻度不良反应,都可以通过饮食、运动等改善,但许多患者并不了解。
当然,目前副作用研究结论都是在 2 型糖尿病或肥胖患者中得出,那些本来体重没有超标,还想更瘦的人,副作用很可能更为复杂。
另一大因素,就是钱。GLP-1 受体激动剂类相对传统减重药物而言,并不便宜。
在美国,司美格鲁肽降糖版每月治疗费用 970 美元,减重版 1350 美元。全球绝大多数国家,减重用这类药是无法医保报销的,能报销的也只报 2 年(如英国),商业保险更是常常直接给这类患者涨价。
这锅,不能都让药来背
Nature 报道中提到,为了能够长期稳定减重降糖,目前研究人员和临床医师通常将 GLP-1 受体激动剂视为一种长期甚至终身治疗 [1]。但实际上研究也已证实,突然停用这类药并没有生物学上的危害,它不会像有些药物那样停药后出现戒断反应。
也就是说,Nature 提出这类药物需要逐渐停药,理由与其他药物不同。临床研究显示,有些人在停药后感觉比用药前有更强的饥饿感。

那如果真要停药怎么办呢?Nature 给出了这样的「停药指南」:
1、逐渐减量,关注食欲和体重变化。如果出现反弹,应从低剂量再开始使用,而不是等体重都长回来了再想办法。
2、尝试其他减肥药,或考虑减重手术。
3、继续保持用药期间已养成的饮食、运动习惯。
而这最后一条,其实是顺利停药的必备条件。如果停药后保持多动少吃,能够持续保持体型,如果恢复之前的放纵,反弹几乎板上钉钉。
但这对于肥胖患者而言,本就是很有挑战的事情。华北某三甲医院内分泌科医生王萍就表示,减肥比治疗一般的疾病更难:「不少患者来了就会说,我要一年减下 20 斤、30 斤,然后疯狂努力,毅力让我都佩服。但是,一旦达到目标体重,他们就会不由自主地泄气、停下来。因为达标让他觉得做到了、完成了、可以松一口气了。」
与此同时,不仅患者认知亟待提高,有的国家医保报销都不科学。

英国阿尔斯特大学研究员 Alex Miras 认为,像英国一样规定肥胖患者只能报销 2 年,只是出于医保成本考虑定的时间,在临床上是没有道理的。
为了自家产品「不背锅」,药企积极推动观念变革的动力,也不亚于临床医生。
拥有利拉鲁肽和司美格鲁肽的诺和诺德,为此,诺和诺德设计了以患者为中心的策略:对患者宣教,动员更多肥胖人群寻求治疗;对医护人员宣传药物,推动他们了解和参与;对支付方宣扬价值主张,使各方认识到肥胖是慢性疾病,需要药物治疗和生活方式的长期管理。

诺和诺德肥胖领域战略
同时,GLP-1 受体激动剂类药物的原理,不是针对肥胖病因。因此即便火爆如此,似乎依然不是各大药企眼中肥胖治疗的究极武器。
2023 年 7 月,礼来以 19.25 亿美元的价格收购 Versanis。该公司拥有一款单抗药,在减重的同时还可以增肌,就可能直接针对肥胖的病因。
从目前公开信息来看,「预防肥胖的药物」想要真正问世,还长路漫漫。但诺和诺德首席执行官 Lars Fruergaard Jorgensen 认为,只有预防性方法,能解决当前任何减肥疗法都面临的反弹问题。
上工治未病的风,还是吹回了肥胖。各大药企在逐梦红海的同时,似乎也在悄悄绸缪新局。
随着观念的改变,治疗肥胖这种「慢病」,或许将有新的天地。