


又到了秋天,一个吃大闸蟹的季节。大闸蟹确实好吃,但有个传言如雷贯耳:千万别吃死的大闸蟹,否则死的就不只是大闸蟹了!
先不说有没有人生啃大闸蟹,就一个灵魂发问:我亲手上锅蒸死的大闸蟹,算不算死蟹?到底能吃不能?

这总是死蟹吧,能吃吗?丨图虫创意
自死和他杀的大闸蟹,哪个毒?
开篇明义一下,死了一阵的大闸蟹确实不适合再拿来蒸了吃。
首先,活蟹细菌就多,死后细菌更更更多。
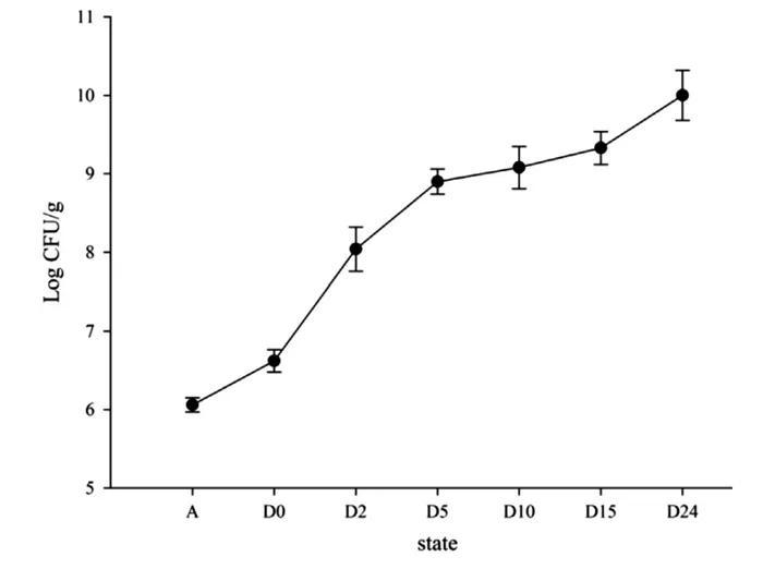
在2020年的一项研究中,实验人员分别检测了活大闸蟹、刚死的大闸蟹、死了2小时的大闸蟹、死了5小时的大闸蟹、死了10小时的大闸蟹、死了15小时的大闸蟹与死了24小时的大闸蟹中的总菌落数。
结果发现,哪怕是活大闸蟹,身上的菌落数就比雪蟹、蓝蟹等海蟹多约3600倍。其原因是大闸蟹生活在细菌更喜欢的淡水里,而且大闸蟹身上的绒毛、缝隙也多,更容易长细菌。

大闸蟹学名中华绒螯蟹,因为它们的两只大钳子长满了绒毛,这里容易藏污纳垢丨图虫创意
而大闸蟹死后,本就生活在蟹上的大量细菌脱离了免疫系统的压制,开始借着大闸蟹里的蛋白质、脂肪、淡水等资源疯狂繁殖。这些细菌有的能产生耐热的毒素,有的能和酶一起分解蛋白质产生耐热有毒的组胺,蒸熟了也无济于事。

大闸蟹存活时及死后菌落数变化,横轴单位为小时,A代表活大闸蟹丨Wang et al. (2020)
从上图也能看出,我们亲手蒸死的大闸蟹还好,而不知何时嘎掉的大闸蟹,细菌数量已经翻了很多倍了。
此外,就算经过了杀菌,死掉的大闸蟹也让人难以下嘴。
一方面,死掉的大闸蟹蒸熟后蟹黄蟹肉水分流失,都不太新鲜了,没啥吃头;
另一方面,因为水分多、蛋白质多,死掉的大闸蟹会迅速腐败,产生有毒的组胺,以及尸胺、腐胺——它们虽然毒性不算强,但看名字就能想象味道了。

图丨soogif
怕大闸蟹都死了,难道要一次全吃完?
理论归理论,实际生活中我们面临另一个问题。
过节的时候经常收到十几只装的大闸蟹礼盒。放着慢慢吃吧,螃蟹死了只能丢掉,太浪费;一锅全蒸了吃吧,实在没有花几个小时掏黄抠肉的雅兴。

虽然大闸蟹好吃,可一旦超过两只我就开始不耐烦了丨图虫创意
彻底蒸熟了放冰箱慢慢吃,行吗?行!
如果放冷藏的话,记得蒸熟后尽快用保鲜膜、保鲜盒装起来放冰箱。为了安全和口感口味,吃的时候最好再上锅蒸一次,并且在一天内吃完。
如果蒸熟了放冷冻,唔,理论上可以,但冷冻过的熟大闸蟹不好吃,蟹肉被冰晶破坏,吃起来口感发绵,珍贵的蟹黄蟹膏富含油脂,在冷冻环境下也会慢慢氧化,冻得越久越容易有苦味哈喇味。

多少人吃大闸蟹就是为了这一口丨图虫创意
多说一嘴。超市里有很多冻螃蟹,所以可能有人会想把一时吃不完的活螃蟹也直接冻起来——这可不行啊!
一来,冷冻没法杀菌,因此超市里卖的冻蟹大多数海蟹,而不是细菌更多的大闸蟹等淡水蟹(而且拿出来又解冻的话,细菌又会繁殖起来);
二来,超市冻蟹是经过商业速冻的,冷冻过程更快、温度更低,才能让螃蟹更安全和好吃,家用冰箱可做不到这点;
三来,大闸蟹体内的酶活性比海蟹高,直接活冻也能保持部分活性,并持续分解冻死螃蟹的肉,然后产生难吃甚至有毒的生物胺。

超市里很多冻海蟹也是熟冻的丨电商截图
那……吃不完的养起来?
收到大闸蟹礼盒,除了一顿吃完、一天吃完,还有个法子,活活冷藏。
浙江省农业科学院的一项研究显示,让大闸蟹缓缓冷却到7摄氏度左右保存,能够让它们存活长达10天。家里冰箱的冷藏温度一般是2摄氏度到4摄氏度,给大闸蟹裹上湿纸巾保湿再冷藏,也许也能让它们活得久一些,减少浪费。

如果拿出来准备吃的时候发觉大闸蟹不对劲,立刻马上弃之!丨小红书/湖农老mu
但在这个过程中一定注意把活大闸蟹和冰箱里其他食物分开放,尤其是熟食。为啥?复述一遍本文的核心知识点:大闸蟹细菌真的很多啊!
参考文献
[1]Fan, Licheng, et al. Effect of Short-Term Frozen Storage on Taste of Gonads of Female Eriocheir Sinensis and the Classification of Taste Quality Combined with Sensory Evaluation and Fuzzy Logic Model. Food Chemistry, vol. 378, June 2022, p. 132105, https://doi.org/10.1016/j.foodchem.2022.132105
[2]Fan L, Xian C, Tang S, Ding W, Xu C, Wang X,
Effect of frozen storage temperature on lipid stability of hepatopancreas of Eriocheir sinensis,LWT, Volume 154,2022,112513, https://doi.org/10.1016/j.lwt.2021.112513.
[3]Laixin Chen, Yanchao Han, Honglei Mu, Ben Niu, Ruiling Liu, Guannan Wang, Huizhi Chen, Lishu Wang, Hangjun Chen, Haiyan Gao, Hypothermal effects of cold anesthesia on the vitality and muscle quality of live Chinese mitten crab (Eriocheir sinensis), Food Research International, Volume 219, 2025,116970, https://doi.org/10.1016/j.foodres.2025.116970.
[4]Wang Y, Zhu Y, Shi W, Wang X. Quality evaluation of living and postmortem Chinese mitten crabs (Eriocheir sinensis). Food Sci Nutr. 2020; 8: 2327–2340. https://doi.org/10.1002/fsn3.1519
[5]Xueqian Guo, Lizhi Yu, Qi Lu, Wei Ding, Jian Zhong, Long Zhang, Xichang Wang, Quality evaluation and shelf-life prediction model establishment of frozen Chinese mitten crab (Eriocheir sinensis), LWT, Volume 173, 2023, 114250, https://doi.org/10.1016/j.lwt.2022.114250
[6]Yanshun Xu, Wenshui Xia, Jin M Kim, Biogenic and volatile amines in Chinese mitten crab (Eriocheir sinensis) stored at different temperatures, International Journal of Food Science and Technology, Volume 44, Issue 8, August 2009, Pages 1547–1552, https://doi.org/10.1111/j.1365-2621.2008.01788.x
[7]Yang, X., Zhang, J. & Cheng, Y. The evaluation of the three edible tissues of dead adult Chinese mitten crabs (Eriocheir sinensis) freshness in harvest season, based on the analysis of TVBN and biogenic amine. SpringerPlus 5, 1906 (2016). https://doi.org/10.1186/s40064-016-3434-4
[8]https://www.jfdaily.com/wx/detail.do?id=691784